регион 63 писал(а):А что есть прогрессивность?
1) конические пружины
2) пружины с переменным сечением витка.
регион 63 писал(а):А что есть прогрессивность?

Gubkin писал(а):1) конические пружины
2) пружины с переменным сечением витка.
Accent-58 писал(а): Пружины же стали мягче, за счет того что шаг витка уменьшился.
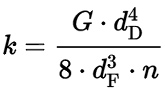
Gubkin писал(а):в формуле жёсткости пружины шаг витка никак не влияет на жёсткость
Accent-58 писал(а):А число витков на длине пружины ?
Gubkin писал(а):в формуле жёсткости пружины шаг витка никак не влияет на жёсткость
|
Вернуться в Подвеска и ходовая (BL)
Сейчас этот форум просматривают: нет зарегистрированных пользователей и гости: 4